Architecture of Formula Engine
Chapter outline discussing Univer's formula engine architecture, it is recommended to read the "Overall Architecture" chapter first.
The primary objectives in designing the formula engine are:
- Support Univer's various document types and related functionalities to connect to formulas
- Provide a smooth user experience, supporting computation on web worker and server side
- Support advanced formula capabilities, aligned with features provided by Microsoft Office 365, including but not limited to:
- Sense formula execution status, support for stopping formula execution, support for loop reference detection and iteration calculation execution limit setting
- Let / lambda and other custom functions
- Supporting supertables, formulae, and naming ranges.
Overall Architecture
The architecture diagram is presented as follows:

Model: Stores the initial formula data, such as location and formula string.Engine: Responsible for syntactic and semantic analysis of the formula string, analyzing the dependencies between formulas, and more.Service: Provides a formula computation environment, supports registering functions, and offers custom name, supertable, and formula scheduling services.CommandandController: Control the formula module coordination.Function: Function implementation.
Engine
The Engine is the core of the formula engine, providing the following capabilities:
- Dependency analysis, determining the order of execution for a set of formulas.
- Syntax and lexical analysis of each formula string, generating a syntax tree.
- Performing computation through the syntax tree.
- Providing basic operations for functions, including addition, subtraction, multiplication, and division, string concatenation, trigonometric functions, etc.
The Engine architecture is presented in the following figure:

Lexer
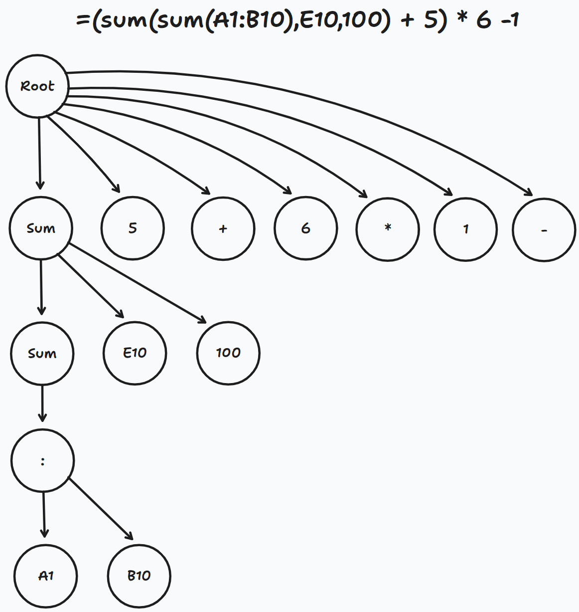
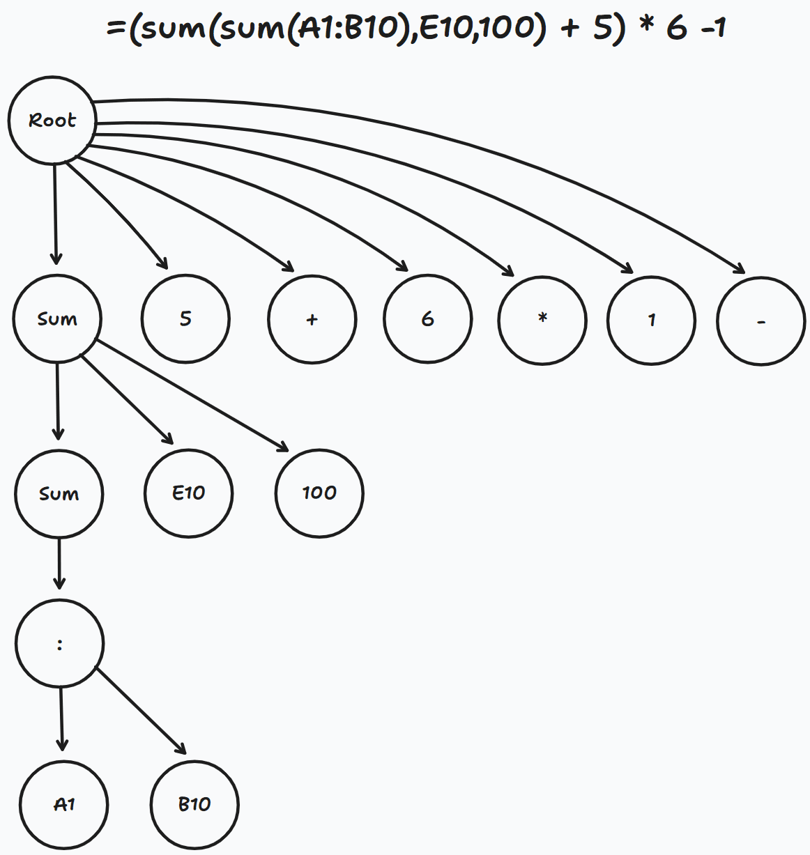
The Lexer is responsible for the lexical analysis of the formula string. It matches tokens defined by the engine and generates nodes based on the rules, constructing a tree of LexerNode nodes. For example, A1, B10, SUM will all be recognized as LexerNode. The recognition of node types will be handled by the Parser. For instance:
=(sum(sum(A1:B10), E10, 100) + 5) * 6 - 1The transformed LexerNode tree looks as follows:

After generating the LexerNode tree, the engine will call the conversion method, using postfix notation to replace the original infix expression, eliminating the parentheses in the computation. For example:
(3 + 4) * 5 - 6Will be converted to:
3 4 + 5 × 6 -Parser
The Parser's main responsibilities are to transform the LexerNode tree generated by the Lexer as follows, creating an AstNode tree:
- Convert node names containing functions like
SUMtoFunctionNodeformula nodes, and references likeE10toReferenceNodereference nodes, and operators like+toOperatorNodeoperation nodes. - Other node types include:
LambdaNode, specific to lambda functions, for parametrization and wrapping as lambda-value-objectUnionNode, mergingA1:B10as RangeReferencePrefixNode, recognizing-as a negative number and compatibility with@in older versionsSuffixNode, recognizing%as percentage and#as shorthand for dynamic array formula rangeValueNode, recognizing text, number, and logical value as the three basic types
- Convert
letto lambda execution - Inject parameters for lambda
The illustration of the transformed LexerNode tree to AstNode tree is as follows:

Interpreter
Responsible for executing a single expression, recursively obtaining the return value by invoking the methods of the AST node, with the following main responsibilities:
- Converting operators to meta functions and executing them, primarily including arithmetic and comparison operators
- Instantiating characters, numbers, and Boolean values as
ValueObject, and instantiating arrays asArrayValueObject - Instantiating references as
ReferenceObject, and calling the internal method to convert them toArrayValueObject - Invoking specific functions to start the calculation, with the values received by the function being the base class
BaseValueObject, and returningReferenceObject | BaseValueObject | AsyncValueObject - Asynchronous calculations will be awaited for results in the upper layer and passed to the lower layer, so there is no need to write asynchronous methods in the function, just passing the Promise as a parameter to
AsyncValueObjectand returning - For INDIRECT, OFFSET, and other reference functions, return
ReferenceObject.
BaseValueObject is a crucial operation type in the formula engine computation, with the following inheritance types:
NullValueObject
Representing a null value, treated as false or 0 when calculated with other value types. An ErrorValueObject is returned directly if unable to calculate.
ErrorValueObject
Representing an error, similar to Excel's #VALUE!, #NAME!, #REF!, etc. An ErrorValueObject can be returned directly in the function to represent a calculation error.
PrimitiveValueObject
Comprised of three basic value types: NumberValueObject, StringValueObject, and BooleanValueObject, each implementing their respective numeric calculation methods. The precision of the underlying computation is handled by decimal.js.
LambdaValueObject
Passing lambda functions as arguments to lower-level functions allows them to be applied in functions such as MAKEARRAY and REDUCE.
ArrayValueObject
This is the core of matrix computation and can be computed with any PrimitiveValueObject or another ArrayValueObject. The calculation is demonstrated in the following figure:

It also supports calculations such as sum, average, min, max, std, var, power, and more. Furthermore, it has implemented capabilities like Numpy's slice and filter for functions such as vlookup, xlookup, match, and others.
export class Vlookup extends BaseFunction {
override calculate(
lookupValue: BaseValueObject,
tableArray: BaseValueObject,
colIndexNum: BaseValueObject,
rangeLookup: BaseValueObject = new PrimitiveValueObject(false),
) {
const colIndexNumValue = this.getIndexNumValue(colIndexNum)
// Extract the first column of the tableArray
const searchArray = (tableArray as ArrayValueObject).slice(0, 1)
// Extract the column specified by colIndexNumValue
const resultArray = (tableArray as ArrayValueObject).slice(colIndexNumValue - 1, colIndexNumValue)
// Use the pick method of the resultArray to filter the matrix based on the lookupValue
// Return the first result value found
return resultArray.pick((searchArray as ArrayValueObject).isEqual(lookupValue) as ArrayValueObject).getFirstCell()
}
}In situations with a high number of formulas, ArrayValueObject implements a reverse index on the list to enhance iteration performance.

Dependency
Responsible for formula dependency analysis, marking formulas that need to be calculated and outputting a queue of the marked formulas for execution.

As shown in the above image, when the content of cell A1 changes, the formulas in A2, A3, A4, A5 will be marked as dirty, and the marked formulas will undergo dependency analysis, resulting in the final output order of A2 -> A3 -> A5 -> A4.
If INDIRECT / OFFSET -like reference functions are encountered, the Dependency module will call Lexer and Parser to perform pre-computation. This allows for the advance calculation of the reference range of these types of functions, which is then used to calculate their dependencies.
Service
Provides various services for the computation process. Here are a few of the key services:
IFormulaCurrentConfigService and IFormulaRuntimeService
Used for loading Univer data and storing temporary data for the formula execution process. The runtime returns all calculation results once the formula execution is complete.
IFunctionService
Used for registering functions and their descriptions. Users can also register quick, custom functions through uniscript.
IFeatureCalculationManagerService
Registers features in the sheet domain, such as pivot tables, conditional formatting, and data validation. For example, pivot tables:
- Pivot tables can register a dependency range and a
getDirtyDatamethod. - After the dependency range is marked as dirty, the
getDirtyDatamethod is executed, implementing the calculation logic within the pivot table. - The
getDirtyDatamethod can return a dirty area and temporary data for the dirty area, which are used for further calculation dependent on the pivot table results. The final, correct result is obtained.
IOtherFormulaManagerService
Registers formulas for doc and slide, which are non-table domains. These formulas are not dependent on sheet formulas, so they do not need to return dirty areas and temporary data.
CalculateFormulaService
The core method for triggering formula calculation, which provides the following functions:
- Circular dependency execution
- Return of runtime status, including the total number of formulas executed and the number of completed formulas.
- Secondary marking of array formulas as dirty, and their execution after the results are returned.
- Uses
requestImmediateMacroTaskto avoid the 4ms limit of setTimeout, enabling formula execution in macro tasks and supporting termination of formula execution. - Formula execution time statistics.
Function
Implemented with matrix calculation, reducing code size and centralizing core logic. This leads to more standardized function implementation and improved accuracy and quality.
The formula engine references Numpy's matrix operation concept, reducing the amount of code needed for function implementation and centralizing numerical computation, trigonometric function computation, and other core logic in BaseValueObject. This lays the groundwork for standardizing function implementation.
The following is an example of a Sum formula implementation:
export class Sum extends BaseFunction {
override calculate(...variants: BaseValueObject[]) {
// Initialize an accumulator variable for summing
let accumulatorAll: BaseValueObject = new NumberValueObject(0)
// The number of parameters for the Sum function is determined by the user. The following loop obtains and calculates.
for (let i = 0; i < variants.length; i++) {
let variant = variants[i]
// If the input is a reference range like A1:B10, the upper layer will automatically convert it to an ArrayValueObject.
if (variant.isArray()) {
// Call the sum function on ArrayValueObject to sum the value of all ValueObjects
variant = (variant as ArrayValueObject).sum()
}
// Call the numerical computation function Plus on ValueObject to perform the sum
accumulatorAll = accumulatorAll.plus(variant)
}
return accumulatorAll
}
}How is this guide?
